Les substances humiques
La matière organique, sous l’action d’animaux, de bactéries, de champignons, évolue vers l’humus (processus d’humification), une matière stable ayant une forte capacité de rétention en eau et en éléments minéraux.

Les substances humiques
Fertinagro - Mercredi 26 octobre 2022
La matière organique, sous l’action d’animaux, de bactéries, de champignons, évolue vers l’humus (processus d’humification), une matière stable ayant une forte capacité de rétention en eau et en éléments minéraux.

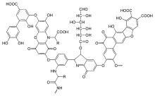
Les humines, les acides humiques et fulviques sont les composants de l’humus. Ces trois fractions ont des structures analogues : des noyaux aromatiques reliés par des chaines aliphatiques hydrophobes et portant des groupements fonctionnels hydrophiles (le plus souvent alcooliques ou carboxyliques). La différence étant leur degré de polymérisation et la nature des groupements fonctionnels présents :

Exemple ACIDE FULVIQUE
Poids moléculaire faible
Soluble à pH acide et alcalin


Exemple ACIDE HUMIQUE
Poids moléculaire élevé
Soluble à pH alcalin

Humine
insoluble
Acides fulviques et humiques expriment, de par leur structure et groupements fonctionnels qui leur sont propres, des propriétés différentes :
- Les acides fulviques ont une grande mobilité dans le sol. Ils ont la capacité de chélater les minéraux du sol (les cations) et d’en faciliter l’absorption par les plantes.
- Les acides humiques sont peu mobiles dans le sol mais participent à sa structuration en se liant notamment aux particules d’argile (action positive sur la porosité, la résistance du sol à l’érosion). De plus, les acides humiques présentent une grande capacité de rétention en eau grâce à leur groupements fonctionnels hydrophiles (amélioration de la réserve utile).
Et ces deux fractions, grâce à leurs groupements fonctionnels alcools et carboxyliques, et à leurs charges négatives, ont une capacité de fixation des cations du sol et en améliore la CEC.
Il faut noter que ces substances humiques (acides humiques et fulviques) présentent une grande variabilité de structure, et donc de fonctionnalité, selon les propriétés du sol (origine et nature des matières organiques initiales, activité biologique de la microflore) et les conditions environnementales (pH, humidité, température).
L’intérêt agronomique des acides humiques et fulviques étant bien déterminé, FERTINAGRO propose une gamme de produits biostimulants contenant ces molécules, la gamme HUMIVITAL.
Pour cela, la société dispose de sources de léonardite, une matière végétale humifiée provenant de l’époque du carbonifère (350 millions d’année). Cette léonardite est extrêmement chargée en substances humiques, jusqu’à 90 %. Et selon son origine et les conditions d’humification, la composition de la léonardite sera variable. Grace à des équipements à la pointe et à différents brevets, FERTINAGRO est capable d’identifier les groupes fonctionnels portés par les substances humiques des lots de léonardite, et donc de sélectionner ceux présentant un intérêt pour entrer dans la composition d’HUMIVITAL :

HUMIVITAL offre un dosage optimal en acides humiques et fulviques portant des groupements fonctionnels actifs, pour une action rapide et complète sur le SOL (structuration, réserve utile, CEC, chélation/protection des éléments) et la PLANTE (stimulation de la croissance racinaire, absorption des éléments).
La gamme HUMIVITAL est homologuée (n° AMM 6180068), preuve de sa composition, stabilité, efficacité et innocuité.
